Home | Up one level | Previous | Next
1 | 2 | 3 | 4

Konstantin Manuilov
On the Integration of the N-Body Equations
Part 2


      By using the qualities of conic sections and proportions, Newton brings the system of two bodies with masses m1 and m2, that are acting on each other to the system of one body in free motion. In the beginning, instead of attraction between them, comes attraction to their general center of gravity (Theorem XXIV), then the non-moving point transfers to "the center of gravity of the largest and most internal body" m1 (reduction and Theorem XXIV), and orbits of (points) with masses m1 + m2 and m2(?) are built (Theorems XX, XXII, XXIII). Then, the imovable point is transferred to the general "center of gravity of the two internal bodies," and we obtain the orbit of a point with a mass μ. The orbit of the μ-point, an ellipse, (with time) becomes a circle with (the) radius of the larger semi-axis, so the motion of the μ-point will be without acceleration. For this reason, Newton introduced projective coordinates, i.e., {they transform a metric to a straight interconnected body}.

many3.1

Page 160

      From (3.1), by using proportions

many3.2

By using r1+r1 = r12 , v1+v1 = v12   we obtain

many 3.3

Substituting (3.3) into (3.1) gives

many 3.4

which formally defines the system of two bodies of equal mass

eq 3-4a
      Quantities (3.3) are (projective) coordinates on the interval (simplex) [38] invariant relative to the translation of the (system). The values of μ, r12 and v12 allow us to find the semi-axes of the conic section - ellipses a and b, the values for which define the coefficient of a quadratic form in the elliptic θ-function of Jacobi [41].

b. The Problem of n Bodies

      Let us look on the problem of n bodies. For its solution it is necessary and sufficient to transform, by using Newton's laws, a series of n bodies acting on each other, into a system of a finite (number) of Newton's sub-systems, each one with two bodies. This is done by using the {main axes of quadratic form} -- a metric that is induced in R3 by a system of n bodies, that at the moment of time t0 are polyhedra, located at the n centers of gravity of the bodies.
      We will (put in) (three) second power linear forms, defined as the sum of the projections of radius-vectors of bodies onto the axes of a Descartes system of coordinates, with the origin in the general center of gravity of all systems.

Page 161
Basement Doors
that gives the expression

many 3-6

where many 3-6a are second powers of radius vectors ri. many 3-6b -- their scalar products, which are proportional to the projections of the ith vector on the jth, mi - masses that normalize the values of the vectors ri.
      Let us notice that ri(aii)1/2 are the lines of force (activity) which attract the bodies to the general center of gravity of the system, and values of aij define how much that a given system is distinguished from a free system, i.e., proportional to the actions of the bodies on one another.
      Let us bring the quadratic form to the main axes ([27] p. 389).
many 3-7a
many 3-7b
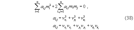
      Expression (3.7), from a formal point of view, appears to represent the sum of orthogonal vectors, because of the mute absense of component species aij mi mj . But in R3 it is only possible to orthogonalize a system of three vectors. Thus, we should look on the transformation of that form to the main axes as a transformation of a polyhedron, as a result of which the algebraic sums of aij mi mj will be zero. It is canonical [31], and transfers the n-body system with masses m1, m2, . . . mn, that act on one another, to a system of n bodies with masses m1, m2,...mn, on which only the general center of gravity of the system acts ([1], Theorem XXIV).
      In a similar way, it is possible to transform the quadratic (form), built on weighted velocities

many 3-8

      The zero components of the quadratic forms, (are) transferred to the main axes of the centers of gravity of (n-1) Newtonian subsystems of n bodies.
      Let us look on the first component in (3.7). It (transfers) (to) zero because of the inequality

many 3-9

      From this we obtain the first equation of the center of gravity of the first Newtonian sub-system of two bodies - a body with mass m and the general center of gravity for n-1 bodies, located at the distance many 3-9a from the general center of gravity for system Cn .

many 3-10


1 | 2 | 3 | 4
Home | Up one level | Previous | Next